back-image
Коммунальное государственное учреждение «Гимназия №1» отдела образования города Темиртау управления образования Карагандинской области

Расширение сферы применения казахского языка

Комитетом языковой политики Министерства науки и высшего образования Республики Казахстан реализован проект синтеза речи на казахском языке (экранный диктор) с целью расширения сферы применения казахского языка, в том числе создания необходимых условий для слабовидящих.

screenreader.tilqazyna.kz
Организации> Коммунальное государственное учреждение «Гимназия №1» отдела образования города Темиртау управления образования Карагандинской области

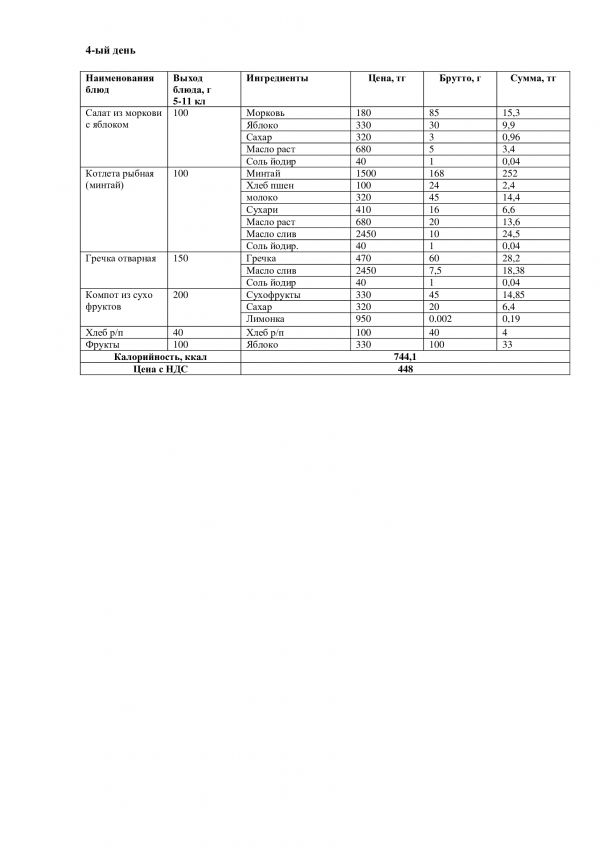
Школьное питание

План работы межведомственной экспертной группы по контролю за качеством питания на 2022-2023 учебный год
07.10.2022
План работы межведомственной экспертной группы по контролю за качеством питания на  2022-2023 учебный год
.
15.06.2022
27.01 в гимназическую столовую посетила Межведомственная комиссия в составе представителя  аппарата акима города, методиста  ГУ «Отдела образования города Темиртау», 2 директор…

первая 1 2 3 4 след. последняя

Новости